
범주형 자료 - 원핫인코딩
- 원핫인코딩이란 모델링을 할 때 범주형 변수가 있다면 0과 1등으로 표현하는 것을 말합니다.
- 즉 도시라는 feature에서 '서울', '부산, '대구'가 있다면 이를 0과 1 등으로 표현합니다.

- 범주형 자료에도, 순서가 없는 위의 사례같은 명목형과, 순서가 있는 순서형으로 분류됩니다.
- 주의 할점은 도시와 같이 대소 관계의 의미가 없는데, 아래와 같이 순서형으로 하면 안된다는 것입니다.

원한인코딩 주의점
- 카테고리가 너무 많으면(high cardinality) 너무 많은 컬럼이 생성되므로, 적합하지 않을 수 있습니다.
Python의 Pandas를 이용한 원핫인코딩
## get_dummies를 이용한 원핫인코딩
import pandas as pd
df_dummy = pd.get_dummies(df, prefix=['원핫인코딩할 속성']
여기서 가변수(dummy)란 위에서 말한 독립변수(ex.성별)를 0과 1로 표현하는 것을 의미합니다.
Python의 category_encoders를 이용한 원핫인코딩
## category_encoders 이용한 원핫인코딩
from category_encoders import OneHotEncoder
## 원핫 인코딩
encoder = OneHotEncoder(cols=[...]) # 원핫인코딩 할 속성 선택
df = encoder.fit_transform(df) # 원핫인코딩 적용
공식문서 : https://contrib.scikit-learn.org/category_encoders/
Category Encoders — Category Encoders 2.2.2 documentation
Category Encoders A set of scikit-learn-style transformers for encoding categorical variables into numeric with different techniques. While ordinal, one-hot, and hashing encoders have similar equivalents in the existing scikit-learn version, the transforme
contrib.scikit-learn.org
특성 선택(Feature selection)
- 특성 선택 방법은 3가지로 나뉩니다.
- 단변량 분석
- 모델 기반 특성 선택
- 반복적 특성 선택
단변량분석
- 단변량 분석이란 각각의 특성과 종속변수(Target)와의 관계를 계산하여, 관련성이 높다면 특성을 선택하는 것을 의미합니다.
- 여기서 관련성이 높다는 의미는 분산분석을 하여, F통계량을 통해 p-value 값을 확인하여 낮게 나타난 변인을 선택한다는 것입니다.
Python의 scikit-learn에서 단변량 분석
# target와 가장 correlated 된 features 를 k개 고르는 것이 목표입니다.
## f_regresison, SelectKBest
from sklearn.feature_selection import f_regression, SelectKBest, SelectPercentile
## selctor 정의합니다.
### 파라미터는 회귀분석 시 f_regression 분류 시 f_classif(기본값)을 사용
selector = SelectKBest(score_func=f_regression, k=10)
## 학습데이터에 fit_transform
X_train_selected = selector.fit_transform(X_train, y_train)
x_test_selected = select.transform(x_test)
# SelectPercentile을 통해 특성을 지정된 비율만큼 선택
select = SelectPercentile(percentile=50).fit(x_train, y_train) # percentile: 50%만 선택
x_train_select = select.transform(x_train) # 적용
x_test_selected = select.transform(x_test)
모델 기반 특성 선택(feature selection based model)
- 모델기반특성선택이란 지도학습 머신러닝 모델을 이용하여 중요도를 평가하고, 그 중 높은 속성을 선택하는 것을 말합니다.
- 머신러닝 모델 중 속성의 중요도를 측정할 수 있는 것은 decision tree와 Lasso입니다.
- 기존 단변량 분석과 다르게 속성들끼리의 관계도 반영할 수 있습니다.
Python의 scikit-learn에서 모델기반특성선택
from sklearn.feature_selection import SelectFromModel
from sklearn.ensemble import RandomForestClassifier
# 중요도가 지정한 임계치(threshold)보다 큰 모든 특성 선택하는 모델 구성
# 절반 가량의 특성이 선택될수 있도록 중간값을 임계치로 사용
RF = RandomForestClassifier(n_estimators=100, random_state=42)
select1 = SelectFromModel(RF, threshold='median')
# 특성 선택
select1.fit(X_train, y_train)
X_train_selected1 = select1.transform(X_train)
반복적 특성 선택
- 반복적 특성선택이란 특성의 수가 각각 다른 모델을 만들어, 성능이 높은 것을 택하는 방법이다.
- 특성을 선택하는 접근 방법은 두가지가 있다.
- 첫번째 특성을 하나도 선택하지 않은채로 시작하여 하나씩 추가 하여 만드는 방법
- 두번째 특성 모두 넣고, 하나씩 제거해 나가는 방법
Python의 scikit-learn에서 모델기반특성선택
# 재귀적 특성 방법이며, 이는 2번째 방법인 모든 특성을 넣고 중요도가 낮은 특성을 제거해 나가는 방식
from sklearn.feature_selection import RFE
RF = RandomForestClassifier(n_estimators=100, random_state=42)
# 특성 선택
select = RFE(RF, n_features_to_select=40)
select.fit(X_train, y_train)
X_train_selected = select.transform(X_train)
# https://m.blog.naver.com/PostView.naver?isHttpsRedirect=true&blogId=ssdyka&logNo=221292406449
# 윗분 블로그에 좋은 설명과 코드 예시가 있어서, 참고해보시길 바랍니다.
# coding: utf-8
import numpy as np
import matplotlib.pyplot as plt
from sklearn.datasets import load_breast_cancer
from sklearn.preprocessing import StandardScaler
from sklearn.model_selection import train_test_split
from sklearn.ensemble.forest import RandomForestClassifier
from sklearn.feature_selection import RFE
cancer = load_breast_cancer()
# 고정된 난수 발생
rng = np.random.RandomState(42)
noise = rng.normal(size=(len(cancer.data), 50))
# 데이터에 노이즈 특성 추가
# 처음 30 개는 원본이고 다음 50개는 노이즈로 구성
X_w_noise = np.hstack([cancer.data, noise])
X_train, X_test, y_train, y_test = train_test_split(X_w_noise, cancer.target, random_state=0, test_size=.5)
# StandardScaler를 사용해 각 틍성의 분산이 1이 되도록 스케일 조정
standard_scaler = StandardScaler()
standard_scaler.fit(cancer.data)
X_scaled = standard_scaler.transform(cancer.data)
select = RFE(RandomForestClassifier(n_estimators=100, random_state=42), n_features_to_select=40)
select.fit(X_train, y_train)
mask = select.get_support()
print(mask)
plt.matshow(mask.reshape(1, -1), cmap='gray_r')
plt.xlabel("특성 번호")
plt.show()
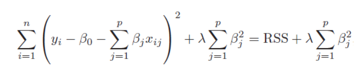
능선회귀 ( Rideg Regression )
- 릿지회귀란, 선형회귀모델을 사용할 때 과적합이 생길때가 있는데, 이때 과적합 문제를 줄이기 위헤 사용하는 것이 릿지 회귀입니다.
- 즉 편향을 조금 더헤주고, 분산을 줄이는 것을 목표로 맨 오른쪽의 페널티항을 통해 계수를 규제하는 방법입니다.
- 페널티항이 높을 수록, 계수가 0에 가깝게 형성됩니다.
기하학적으로 설명하자면 모든 특성의 기울기를 0에 가깝게 만들어(Regulation), 과적합을 피하면서 Variance가 작은 것을 추구


- 위 사진을 통해 페널티(alpha값)이 높을 수록 선이 평평해지는 모습을 볼 수 있습니다.
- 페널티값(alpha) 을 얼마나 주어야 하는가에 대한 것은 직접 조절해보는 방법 밖에 없습니다.
- 참고 동영상 : https://youtu.be/pJCcGK5omhE
Python의 scikit-learn에서 Rideg Regression
from mglearn.datasets import load_extended_boston
from sklearn.linear_model import Ridge, LinearRegression
from sklearn.model_selection import train_test_split
import pandas as pd
df = pd.read_csv('파일경로/데이터.csv')
x_train, x_test, y_train, y_test = train_test_split(df, target, random_state=42, test_size=0.25)
ridge = Ridge()
ridge.fit(x_train, y_train)
# 분산분석을 하는 이유는 ? 왜 분산과 평균이 달라야 p-value가 낮아지는가 ?
# 릿지회귀에서 페널티항이 어떻게 계수에 영향을 끼치는가 계산적인 부분이 이해가 가지않음
# 양적변수, 질적변수, 이산형변수, 연속형 변수에 대해
# 교통사고의 횟수를 모델링 단에서 어떤 변수로 쓰이는지, 연속적이지 않은 데이터
'머신러닝' 카테고리의 다른 글
| 회귀모델 및 모델 평가 방법 등 복습 (0) | 2021.08.06 |
|---|---|
| 로지스틱 회귀 ( Logistic Regression ) (0) | 2021.08.05 |
| 다중선형회귀( Multiple Linear Regression) (0) | 2021.08.03 |
| 단순선형회귀( Simple-Regression ) (0) | 2021.08.02 |
| Clustering (0) | 2021.07.31 |