퍼셉트론(Perceptron)이란?
- 프랑크 로젠블라트(Frank Rosenblatt)가 1957년에 제안한 초기 형태의 인공 신경망입니다.
- 인공신경망을 이루는 가장 기본 단위이며 다수의 신호를 입력으로 받아 하나의 신호를 출력합니다.

- 여기서 신호는, 전류가 전선을 타고 전자가 이동하듯 퍼셉트론이 데이터와 가중치들이 연산의 흐름을 만들어 정보를 계속 전달하는 것과 같습니다.
퍼셉트론의 종류
- 단순 퍼셉트론 (은닉층이 없는 것)
- 가장 기본적인 구조의 퍼셉트론
- 계단함수를 활성화 함수를 사용하는 모델
- 다층 퍼셉트론 (은닉층이 있는 것)
- 퍼셉트론이 레이어가 겹쳐 있는 상태
- 매끈한 활성화 함수를 사용하는 네트워크(시그모이드)
논리게이트
- 단순논리회로 : 단층 퍼셉트론

- AND

-
def AND(x1, x2): w1, w2, theta = 0.5, 0.5, 0.7 tmp = x1*w1 + x2*w2 if tmp <= theta: return 0 elif tmp > theta: return 1 print(AND(0, 0)) print(AND(1, 0)) print(AND(0, 1)) print(AND(1, 1))
- NAND

def NAND(x1, x2):
w1, w2, theta = 0.5, 0.5, 0.7
tmp = x1*w1 + x2*w2
if tmp <= theta:
return 1 ## only change here
elif tmp > theta:
return 0 ## only change here
print(NAND(0, 0))
print(NAND(1, 0))
print(NAND(0, 1))
print(NAND(1, 1))
- OR

def OR(x1, x2):
w1, w2, theta = 0.5, 0.5, 0.3 ## only change here
tmp = x1*w1 + x2*w2
if tmp <= theta:
return 0
elif tmp > theta:
return 1
print(OR(0, 0))
print(OR(0, 1))
print(OR(1, 0))
print(OR(1, 1))
- 배타적 논리회로 : 퍼셉트론의 한계, "단층 퍼셉트론 으로는 XOR 게이트를 표현할 수 없다". 즉 비선형 영역을 분리할 수 없습니다.

- XOR : 다층 퍼셉트론
-
def XOR(x1, x2): s1 = NAND(x1, x2) s2 = OR(x1, x2) y = and(s1, s2) return y print(XOR(0,0)) # 출력 : 0 print(XOR(1,0)) # 출력 : 1 print(XOR(0,1)) # 출력 : 1 print(XOR(1,1)) # 출력 : 0
신경망(Neural Networks)

- Artificial Neural Networks(ANN, 인공신경망)이라 불리는 학습모델,
- 뇌의 실제 신경계의 특징을 모사하여 만들어진 계산 모델(computational model)
- 퍼셉트론 알고리즘이 발전하면서 나온 모델이다.
- 기본 구조는 노드들이 엣지로 연결되어 있으면서, 엣지의 가중치를 곱해서 다음 층의 노드로 전달한다
- 입력층 : 입력이 들어노는 계층
- 은닉층 : 입력층과 출력층 사이에 존재하는 것으로, 활성화 함수를 통해 계산하여 임계치를 넘을 경우 다음 노드로 전달한다
- 출력층 : 마지막 은닉층에서 넘어온 값을 활성 함수를 통해 계산하고, 임계 값을 넘는 경우 결과를 출력
- 출력층의 경우 회귀, 분류에 따라 활성화 함수가 나뉩니다.
- 일반적으로 회귀에는 항등 함수를, 분류에는 소프트 맥스 함수를 사용합니다.
- 항등함수는 말그대로, 입력을 그대로 출력합니다. 즉 입력과 출력이 항상 같다는 뜻의 항등입니다.
- 소프트맥스의 경우 출력은 0에서 1.0 사이의 실수로 나타납니다. 또한 출력의 총합은 1입니다. 이덕분에 함수의 출력을
- '확률'로 해석할 수 있는 것입니다.
활성함수(Activation function)
- 임계치(threshold Logic Unit)는 활성함수와 같은 개념으로, 임계치가 만족되면 1로 출력하는 것처럼 활성함수의 조건을 충족하면 다음 노드들이 있는 층(Layer)으로 신호를 전달합니다
- 활성함수는 다양합니다. 계단함수, 시그모이드, ReLU 함수 등이 있습니다. 일단 가볍게 사용 빈도에 대해 설명하자면
- 이론책에는 Sigmoid를 가장 많이 언급하지만, 실제 모델을 생성할때는 ReLU(Rectified Linear Unit) 입니다.
- 출력층에는 대부분 활성함수가 존재하며, 회귀문제의 경우 목표 변수가 실수값인 경우 활성화함수가 필요하지 않지만
- 이진분류, 다중 클래스를 분류하는 경우 시그모이드나, softmax함수를 사용합니다.


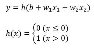
활성함수 처리 과정


가중치가 달린 입력 신호와 편향의 총합을 계산하고, 이를 a라고 합니다. a를 h( )에 넣어 y를 출력하는 그림입니다.
정리
- 인공신경망은 순방향 신경망(feedforward NN)을 학습할 때 손실 함수(Loss function)을 통해 실제값과 예측값의 차이를 평가하고 최소화 하기 위해 경사하강법(Gradient Descent)를 통해 최적의 가중치, bias를 찾는 개념
- 딥러닝 방법론인, 신경망이 강력하다고 하는 이유는 머신러닝 방법론은 일단 유효한 속성에 대해서 분석가가 직접 찾아내야하지만 신경망의 경우 알아서 조합하여 찾아내기 때문에 특성공학(Feature Engineering)을 할필요가 없습니다.
- 특히 Pixel과 같은 고차원의 이미지 데이터를 모델링할 때 알아서 조합하기 때문에 유용합니다.
'딥러닝' 카테고리의 다른 글
| 밑바닥부터 시작하는 딥러닝(오차역전파법, affine층 역전파, simoid, Relu) (1) | 2021.11.11 |
|---|---|
| 밑바닥부터 시작하는 딥러닝(활성화함수, 인공신경망, MNIST) (0) | 2021.10.21 |