Determinant

스칼라와 벡터
스칼라와 벡터는 선형 대수를 구성하는 기본단위
스칼라는 단순히 변수로 저장되어 있는 숫자이며, 벡터 혹은 매트릭스에 곱해지는 경우 해당 값에 곱한 값으로 결정
벡터는 파이썬에서 주로 list로 사용되며, 이전에 다뤘던 것처럼 데이터셋을 구성하고 있는 데이터프레임의 행과 열로 사용되기도 한다.
매트릭스는 벡터의 모음으로 간주될 수도 있 수도 있다.
스칼라
: 크기만을 나타내는 것, 방향이 없음.
벡터
: 크기와 방향을 동시에 나타낸다, 사칙연산이 가능하다.
벡터의 크기(Magnitude, Norm, Length)
- 벡터의 Norm은 단순히 길이
- 모든 값을 제곱하여, 루트 씌운 값이 벡터의 크기이다.
- 벡터는 선이기 때문에, 피타고라스를 통해 길이를 구할 수 있는 것
벡터의 내적( Dot Product)
- v = [1, 2, 3, 4] , v2 = [5,6,7,8]
- v * v2 = 1*5 + 2*6 + 3*7 + 4*8
- = 70
- 내적은 교환법칙과 분배 법칙이 적용되며, 두 벡터의 길이가 반드시 동일 해야한다.
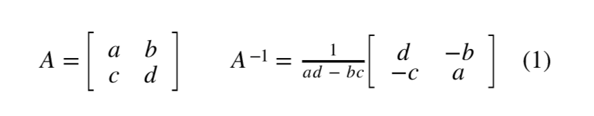
역행렬

#Python의 numpy라이브러리로 determinant 구하기
import numpy
n = [[3,4,2],[1,1,2],[2,3,6]]
det = numpy.linalg.det(n)
print (det)
-6.0
모든 매트릭스가 역행렬을 가지고 있는 것이 아니며 행렬식이 0일 때 역행렬을 가지고 있지 않는다.
- 매트릭스의 행과 열이 선형의 의존 관계가 있는 경우 매트릭스의 행렬식은 0이다.
'선형대수' 카테고리의 다른 글
| 선형대수 - 공분산, 상관계수, 단위벡터 등 (0) | 2021.07.31 |
|---|